search
f
แขวงทางหลวงชลบุรีที่ 1
Chonburi Highway 1
วิสัยทัศน์ : มุ่งมั่นพัฒนาทางหลวงสู่ยุคไทยแลนด์ 4.0 เพื่อเป็นศูนย์กลางการคมนาคมทางถนนและรองรับระเบียงเศรษฐกิจพิเศษภาคตะวันออกในอนาคต(Eastern Economic Corridor : EEC)
หน้าแรก
เกี่ยวกับเรา
คณะผู้บริหาร
คู่มือประชาชน
วิสัยทัศน์ : มุ่งมั่นพัฒนาทางหลวงสู่ยุคไทยแลนด์ 4.0 เพื่อเป็นศูนย์กลางการคมนาคมทางถนนและรองรับระเบียงเศรษฐกิจพิเศษภาคตะวันออกในอนาคต(Eastern Economic Corridor : EEC)
หน้าแรก
/
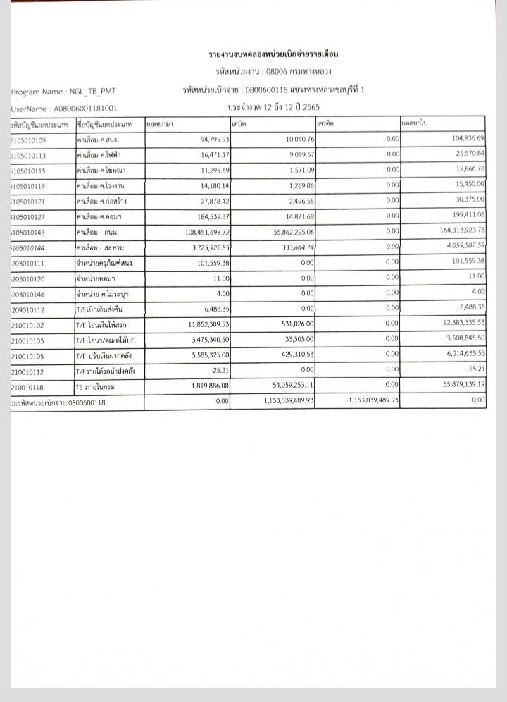
ข้อมูลข่าว : รายงานงบทดลองหน่วยเบิกจ่ายรายเดือน
รายงานงบทดลองหน่วยเบิกจ่ายรายเดือน
ลงวันที่ 10/11/2565
'
Copyright © 2017 Department of Highway. All Right Reserved.
Total Visitor: 88,404 Today's Visitor: 358